10 математических задач, с которыми не могут справиться даже лучшие умы «царицы наук»
На протяжении веков лучшие умы человечества решали одну математическую задачу за другой, однако есть несколько, не поддавшихся до сих пор никому. За нахождение алгоритма их решения некоторые фонды и компании готовы заплатить большие деньги. Представляем вашему вниманию подборку из 10 нерешенных математических задач, которые до сих пор остаются неподвластными даже лучшим умам.

Другие названия: гипотеза 3n+1, сиракузская проблема, числа-градины. Если взять любое натуральное число n и совершить с ним следующие преобразования, рано или поздно всегда получится единица. Четное n нужно разделить надвое, а нечетное — умножить на 3 и прибавить единицу. Для числа 3 последовательность будет такой: 3×3+1=10, 10:2=5, 5×3+1=16, 16:2=8, 8:2=4, 4:2=2, 2:2=1. Очевидно, что если продолжить преобразование с единицы, то начнется цикл 1,4,2. Достаточно быстро количество шагов в вычислениях начинает превышать сто и на решение каждой новой последовательности требуется все больше ресурсов.
Небольшой прогресс в решении этой задачи почти вековой давности наметился буквально недавно. Однако знаменитый американской математик Терренс Тао лишь ближе всех подошел к нему, но ответа все равно пока не нашел. Гипотеза Коллатца является фундаментом такой математической дисциплины, как «Динамические системы», которая, в свою очередь, важна для множества других прикладных наук, например, химии и биологии. Сиракузская проблема выглядит как простой безобидный вопрос, но именно это делает ее особенной. Несмотря на все попытки, эта проблема до сих пор остается самой известной нерешенной математической задачей.

Этот рисунок иллюстрирует нерешенную математическую проблему Гольдбаха, над которой ученые до сих пор ломают головы
Еще одна задачка, формулировка которой выглядит проще пареной репы — любое четное число (больше 2) можно представить в виде суммы двух простых. И это краеугольный камень современной математики. Данное утверждение легко проверяется в уме для небольших значений: 18=13+5, 42=23+19. Причем рассматривая последнее, можно достаточно быстро понять всю глубину проблемы, ведь 42 представляется и как 37+5 и 11+31, а еще как 13+29 и 19+23. Для чисел больше тысячи количество пар слагаемых становится просто огромным. Это очень важно в криптографии, но даже самые мощные суперкомпьютеры не могут перебирать все значения до бесконечности, поэтому нужно какое-то четкое доказательство для всех натуральных чисел.
Проблема была сформулирована Кристианом Гольдбахом в его переписке с другим величайшим светилом математики Леонардом Эйлером в 1742 году. Сам Кристиан ставил вопрос несколько проще: «каждое нечетное число, больше 5, можно представить в виде суммы трех простых чисел». В 2013 году перуанский математик Харальд Хельфготт нашел окончательное решение этого варианта. Однако предложенное Эйлером следствие этого утверждения, которое и назвали «бинарной проблемой Гольдбаха», до сих пор не поддается никому. Это одна из самых древних нерешенных математических задач человечества.

Доказать гипотезу о числах близнецах математики пока не смогли, поэтому ее относят к нерешенным математическим задачам
Близнецами называются такие простые числа, которые отличаются всего на 2. Например, 11 и 13, а также 5 и 3 или 599 и 601. Если бесконечность ряда простых чисел была доказана множество раз начиная с античности, то бесконечность чисел-близнецов находится под вопросом. Начиная с 2, среди простых чисел нет четных, а начиная с 3 — делящихся на три. Соответственно, если вычесть из ряда все, подходящие под «правила деления», то количество возможных близнецов становится все меньше. Единственный модуль для формулы нахождения таких чисел — 6, а формула выглядит следующим образом: 6n±1.
Как и всегда в математике, если проблема не решается «в лоб», к ней подходят с другого конца. Например, в 2013 году было доказано, что количество простых чисел, отличающихся на 70 миллионов, бесконечно. Тогда же, с разницей менее чем в месяц, значение разницы было улучшено до 59 470 640, а затем и вовсе на порядок — до 4 982 086. На данный момент существуют теоретические обоснования бесконечности пар простых чисел с разницей в 12 и 6, однако доказанной является лишь разность в 246. Как и прочие проблемы такого рода, гипотеза о числах-близнецах особенно важна для криптографии. Однако до сих пор она остается нерешенной математической проблемой, над которой бьются лучшие умы.
Гипотеза Римана

Гипотеза Римана — самая известная и неприступная нерешенная математическая задача. За ее решение положена большая награда
Если кратко, то Бернхард Риман предположил, что распределение простых чисел по множеству всех натуральных чисел не подчиняется каким-либо законам. Но их количество на заданном участке числового ряда коррелирует с распределением определенных значений на графике дзета-функции. Она расположена выше и для каждого s дает бесконечное количество слагаемых. Например, когда в качестве s подставляется 2, то в результате получается уже решенная “базельская задача” — ряд обратных квадратов (1 + 1/4 + 1/9 + 1/16 + …).
Одна из «проблем тысячелетия», за решение которой назначен приз в миллион долларов, а также вхождение в пантеон «богов» современной математики. На деле доказательство этой гипотезы настолько сильно толкнет вперед теорию чисел, что это событие по праву будет называться историческим. Многие вычисления и утверждения в математике строятся на предположении о том, что «гипотеза Римана» верна, и до сих пор никого не подводили. Немецкий математик сформулировал знаменитую задачу 160 лет назад, и с тех пор к ее решению подступались неисчислимое количество раз, однако до сих пор она остается, пожалуй, самой неприступной нерешенной задачей современной математики.

Еще одна “задача тысячелетия”, за решение которой Институт Клэя одарит миллионом долларов. Не-математику достаточно трудно хотя бы в общих чертах сформулировать и понять, в чем же суть гипотезы. Берч и Свиннертон-Дайер предположили определенные свойства эллиптических кривых. Идея заключалась в том, что ранг кривой можно определить зная порядок нуля дзета-функции. Как говорится, ничего не понятно, но очень интересно.
Эллиптическими кривыми называются такие линии на графике, которые описываются, на первый взгляд, безобидными уравнениями вида y²=x³+ax+b. Некоторые их свойства чрезвычайно важны для алгебры и теории чисел, а решение данной задачи может серьезно продвинуть науку вперед. Наибольший прогресс в нахождении ответа на эту нерешенную математическую задачу был достигнут в 1977 году коллективом математиков из Англии и США, которые смогли найти доказательство гипотезы Берча и Суиннертон-Дайера для одного из частных случаев.
Проблема плотной упаковки равных сфер

Эта фотография иллюстрирует нерешенную математическую проблему плотной упаковки сфер
Это даже не одна, а целая категория схожих проблем. Причем мы сталкиваемся с ними ежедневно, например, когда хотим разложить фрукты на полке в холодильнике или как можно плотнее расставить бутылки на полке. С математической точки зрения необходимо найти среднее количество контактов («поцелуев», также называется контактным числом) каждой сферы с остальными. На данный момент есть точные решения для размерностей 1-4 и 8.
Под размерностью или измерением понимается количество линий, вдоль которых размещаются шары. В реальной жизни больше третьей размерности не встречается, однако математика оперирует и гипотетическими значениями. Решение этой задачи может серьезно продвинуть не только теорию чисел и геометрию вперед, но также поможет в химии, информатике и физике. Пожалуй, это одна из немногих нерешенных математических задач, которая имеет четкое практическое применение.
Проблема развязывания

И снова каждый день встречающаяся проблема. Казалось бы, что сложного — узел развязать? Тем не менее, вычисление минимального времени, необходимого для этой задачи является еще одним краеугольным камнем математики. Трудность в том, что мы знаем, вычислить алгоритм развязывания можно, но его сложность может быть такой, что даже самый мощный суперкомпьютер будет считать слишком долго.
Первые шаги на пути решения этой задачи были сделаны в 2011 году американским математиком Грегом Купербергом. В его работе развязывание узла из 139 вершин было сокращено со 108 часов до 10 минут. Результат впечатляющий, но это лишь частный случай. На данный момент существует несколько десятков алгоритмов разной степени эффективности, однако ни один из них не является универсальным. Среди применений этой области математики — биология, в частности, процессы сворачивания белков.

Задачу самого большого кардинала математики так и не могут решить до конца, несмотря на все старания
Какая бесконечность самая большая? На первый взгляд бредовый вопрос, но так и есть — все бесконечности разные по размеру. А точнее, по мощности, ведь именно так различают множества чисел в математике. Под мощностью понимается общее количество элементов множества. Например, самая маленькая бесконечность — натуральные числа (1, 2, 3, ...), потому что она включает в себя только целые положительные числа. Ответа на этот вопрос пока нет и математики постоянно находят все более мощные множества.
Мощность множества характеризуется его кардинальным числом или просто кардиналом. Существует целая онлайн-энциклопедия бесконечностей и примечательных «конечностей», названная в честь Георга Кантора. Этот немецкий математик первым обнаружил, что неисчислимые множества могут быть больше или меньше друг друга. Более того, он смог доказать разницу в мощностях различных бесконечностей. Проблема тут заключается в доказательстве того, что существует кардинал (или, возможно, кардиналы) с некоторым заданным большим кардинальным свойством. До сих пор эта задача остается нерешенной.

Является ли сумма этих двух иррациональных чисел алгебраическим числом? Мы оперируем этими константами сотни лет, но так и не узнали о них все. Алгебраическое число — корень многочлена с целыми коэффициентами. На первый взгляд кажется, что все вещественные числа алгебраичны, но нет, наоборот. Большинство чисел трансцендентны, то есть не являются алгебраическими. Более того, все вещественные трансцедентные числа иррациональны (например, π и e), но вот их сумма может быть любой.
Если от предыдущего абзаца у читателя не заболела голова, то вот продолжение загадки — а что с πe, π/e и π-e? Также неизвестно, а знать это наверняка довольно важно для теории чисел. Трансцедентность числа доказал в конце XIX века Фердинанд фон Линдеман вместе с невозможностью решения задачи квадратуры круга. С тех пор значимых подвижек в решении вопроса не было.
Является ли γ рациональной?

Рациональность постоянной Эйлера-Маскерони доказать пока не удалось, поэтому эта математическая проблема остается нерешенной
Вот еще одна проблема, которую очень легко написать, но трудно решить. Является ли постоянная Эйлера-Маскерони иррациональной или нет? Рациональные числа можно записать в виде p/q, где p и q — целые числа. Таким образом, 42 и -11/3 являются рациональными, а и √2 — нет. Формула выше позволяет вычислить постоянную, которая является пределом разности между частичной суммой гармонического ряда и натуральным логарифмом числа. За определение ее рациональности миллион долларов, конечно, не светит, зато вполне можно рассчитывать на кресло профессора в Оксфорде.
Значение γ было вычислено до нескольких тысяч знаков после запятой, первые четыре из которых — 0,5772. Она достаточно широко используется в математике, в том числе вместе с другим числом Эйлера — e. Согласно теории цепных дробей, если постоянная Эйлера-Маскерони является рациональной дробью, то ее знаменатель должен быть больше 10 в 242 080 степени. Но пока доказать ее рациональность не удалось — для этого нам и нашим компьютерам нужно больше времени. До этих пор рациональность постоянной γ остается нерешенной математической проблемой.
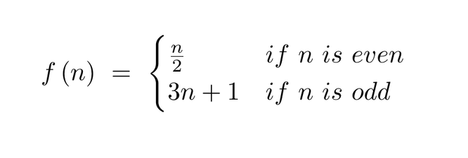
Гипотеза Коллатца

Другие названия: гипотеза 3n+1, сиракузская проблема, числа-градины. Если взять любое натуральное число n и совершить с ним следующие преобразования, рано или поздно всегда получится единица. Четное n нужно разделить надвое, а нечетное — умножить на 3 и прибавить единицу. Для числа 3 последовательность будет такой: 3×3+1=10, 10:2=5, 5×3+1=16, 16:2=8, 8:2=4, 4:2=2, 2:2=1. Очевидно, что если продолжить преобразование с единицы, то начнется цикл 1,4,2. Достаточно быстро количество шагов в вычислениях начинает превышать сто и на решение каждой новой последовательности требуется все больше ресурсов.
Небольшой прогресс в решении этой задачи почти вековой давности наметился буквально недавно. Однако знаменитый американской математик Терренс Тао лишь ближе всех подошел к нему, но ответа все равно пока не нашел. Гипотеза Коллатца является фундаментом такой математической дисциплины, как «Динамические системы», которая, в свою очередь, важна для множества других прикладных наук, например, химии и биологии. Сиракузская проблема выглядит как простой безобидный вопрос, но именно это делает ее особенной. Несмотря на все попытки, эта проблема до сих пор остается самой известной нерешенной математической задачей.
Проблема Гольдбаха (бинарная)

Этот рисунок иллюстрирует нерешенную математическую проблему Гольдбаха, над которой ученые до сих пор ломают головы
Еще одна задачка, формулировка которой выглядит проще пареной репы — любое четное число (больше 2) можно представить в виде суммы двух простых. И это краеугольный камень современной математики. Данное утверждение легко проверяется в уме для небольших значений: 18=13+5, 42=23+19. Причем рассматривая последнее, можно достаточно быстро понять всю глубину проблемы, ведь 42 представляется и как 37+5 и 11+31, а еще как 13+29 и 19+23. Для чисел больше тысячи количество пар слагаемых становится просто огромным. Это очень важно в криптографии, но даже самые мощные суперкомпьютеры не могут перебирать все значения до бесконечности, поэтому нужно какое-то четкое доказательство для всех натуральных чисел.
Проблема была сформулирована Кристианом Гольдбахом в его переписке с другим величайшим светилом математики Леонардом Эйлером в 1742 году. Сам Кристиан ставил вопрос несколько проще: «каждое нечетное число, больше 5, можно представить в виде суммы трех простых чисел». В 2013 году перуанский математик Харальд Хельфготт нашел окончательное решение этого варианта. Однако предложенное Эйлером следствие этого утверждения, которое и назвали «бинарной проблемой Гольдбаха», до сих пор не поддается никому. Это одна из самых древних нерешенных математических задач человечества.
Гипотеза о числах-близнецах

Доказать гипотезу о числах близнецах математики пока не смогли, поэтому ее относят к нерешенным математическим задачам
Близнецами называются такие простые числа, которые отличаются всего на 2. Например, 11 и 13, а также 5 и 3 или 599 и 601. Если бесконечность ряда простых чисел была доказана множество раз начиная с античности, то бесконечность чисел-близнецов находится под вопросом. Начиная с 2, среди простых чисел нет четных, а начиная с 3 — делящихся на три. Соответственно, если вычесть из ряда все, подходящие под «правила деления», то количество возможных близнецов становится все меньше. Единственный модуль для формулы нахождения таких чисел — 6, а формула выглядит следующим образом: 6n±1.
Как и всегда в математике, если проблема не решается «в лоб», к ней подходят с другого конца. Например, в 2013 году было доказано, что количество простых чисел, отличающихся на 70 миллионов, бесконечно. Тогда же, с разницей менее чем в месяц, значение разницы было улучшено до 59 470 640, а затем и вовсе на порядок — до 4 982 086. На данный момент существуют теоретические обоснования бесконечности пар простых чисел с разницей в 12 и 6, однако доказанной является лишь разность в 246. Как и прочие проблемы такого рода, гипотеза о числах-близнецах особенно важна для криптографии. Однако до сих пор она остается нерешенной математической проблемой, над которой бьются лучшие умы.
Гипотеза Римана

Гипотеза Римана — самая известная и неприступная нерешенная математическая задача. За ее решение положена большая награда
Если кратко, то Бернхард Риман предположил, что распределение простых чисел по множеству всех натуральных чисел не подчиняется каким-либо законам. Но их количество на заданном участке числового ряда коррелирует с распределением определенных значений на графике дзета-функции. Она расположена выше и для каждого s дает бесконечное количество слагаемых. Например, когда в качестве s подставляется 2, то в результате получается уже решенная “базельская задача” — ряд обратных квадратов (1 + 1/4 + 1/9 + 1/16 + …).
Одна из «проблем тысячелетия», за решение которой назначен приз в миллион долларов, а также вхождение в пантеон «богов» современной математики. На деле доказательство этой гипотезы настолько сильно толкнет вперед теорию чисел, что это событие по праву будет называться историческим. Многие вычисления и утверждения в математике строятся на предположении о том, что «гипотеза Римана» верна, и до сих пор никого не подводили. Немецкий математик сформулировал знаменитую задачу 160 лет назад, и с тех пор к ее решению подступались неисчислимое количество раз, однако до сих пор она остается, пожалуй, самой неприступной нерешенной задачей современной математики.
Гипотеза Берча и Суиннертон-Дайера

Еще одна “задача тысячелетия”, за решение которой Институт Клэя одарит миллионом долларов. Не-математику достаточно трудно хотя бы в общих чертах сформулировать и понять, в чем же суть гипотезы. Берч и Свиннертон-Дайер предположили определенные свойства эллиптических кривых. Идея заключалась в том, что ранг кривой можно определить зная порядок нуля дзета-функции. Как говорится, ничего не понятно, но очень интересно.
Эллиптическими кривыми называются такие линии на графике, которые описываются, на первый взгляд, безобидными уравнениями вида y²=x³+ax+b. Некоторые их свойства чрезвычайно важны для алгебры и теории чисел, а решение данной задачи может серьезно продвинуть науку вперед. Наибольший прогресс в нахождении ответа на эту нерешенную математическую задачу был достигнут в 1977 году коллективом математиков из Англии и США, которые смогли найти доказательство гипотезы Берча и Суиннертон-Дайера для одного из частных случаев.
Проблема плотной упаковки равных сфер

Эта фотография иллюстрирует нерешенную математическую проблему плотной упаковки сфер
Это даже не одна, а целая категория схожих проблем. Причем мы сталкиваемся с ними ежедневно, например, когда хотим разложить фрукты на полке в холодильнике или как можно плотнее расставить бутылки на полке. С математической точки зрения необходимо найти среднее количество контактов («поцелуев», также называется контактным числом) каждой сферы с остальными. На данный момент есть точные решения для размерностей 1-4 и 8.
Под размерностью или измерением понимается количество линий, вдоль которых размещаются шары. В реальной жизни больше третьей размерности не встречается, однако математика оперирует и гипотетическими значениями. Решение этой задачи может серьезно продвинуть не только теорию чисел и геометрию вперед, но также поможет в химии, информатике и физике. Пожалуй, это одна из немногих нерешенных математических задач, которая имеет четкое практическое применение.
Проблема развязывания

И снова каждый день встречающаяся проблема. Казалось бы, что сложного — узел развязать? Тем не менее, вычисление минимального времени, необходимого для этой задачи является еще одним краеугольным камнем математики. Трудность в том, что мы знаем, вычислить алгоритм развязывания можно, но его сложность может быть такой, что даже самый мощный суперкомпьютер будет считать слишком долго.
Первые шаги на пути решения этой задачи были сделаны в 2011 году американским математиком Грегом Купербергом. В его работе развязывание узла из 139 вершин было сокращено со 108 часов до 10 минут. Результат впечатляющий, но это лишь частный случай. На данный момент существует несколько десятков алгоритмов разной степени эффективности, однако ни один из них не является универсальным. Среди применений этой области математики — биология, в частности, процессы сворачивания белков.
Самый большой кардинал

Задачу самого большого кардинала математики так и не могут решить до конца, несмотря на все старания
Какая бесконечность самая большая? На первый взгляд бредовый вопрос, но так и есть — все бесконечности разные по размеру. А точнее, по мощности, ведь именно так различают множества чисел в математике. Под мощностью понимается общее количество элементов множества. Например, самая маленькая бесконечность — натуральные числа (1, 2, 3, ...), потому что она включает в себя только целые положительные числа. Ответа на этот вопрос пока нет и математики постоянно находят все более мощные множества.
Мощность множества характеризуется его кардинальным числом или просто кардиналом. Существует целая онлайн-энциклопедия бесконечностей и примечательных «конечностей», названная в честь Георга Кантора. Этот немецкий математик первым обнаружил, что неисчислимые множества могут быть больше или меньше друг друга. Более того, он смог доказать разницу в мощностях различных бесконечностей. Проблема тут заключается в доказательстве того, что существует кардинал (или, возможно, кардиналы) с некоторым заданным большим кардинальным свойством. До сих пор эта задача остается нерешенной.
Что не так с суммой числа π и e?

Является ли сумма этих двух иррациональных чисел алгебраическим числом? Мы оперируем этими константами сотни лет, но так и не узнали о них все. Алгебраическое число — корень многочлена с целыми коэффициентами. На первый взгляд кажется, что все вещественные числа алгебраичны, но нет, наоборот. Большинство чисел трансцендентны, то есть не являются алгебраическими. Более того, все вещественные трансцедентные числа иррациональны (например, π и e), но вот их сумма может быть любой.
Если от предыдущего абзаца у читателя не заболела голова, то вот продолжение загадки — а что с πe, π/e и π-e? Также неизвестно, а знать это наверняка довольно важно для теории чисел. Трансцедентность числа доказал в конце XIX века Фердинанд фон Линдеман вместе с невозможностью решения задачи квадратуры круга. С тех пор значимых подвижек в решении вопроса не было.
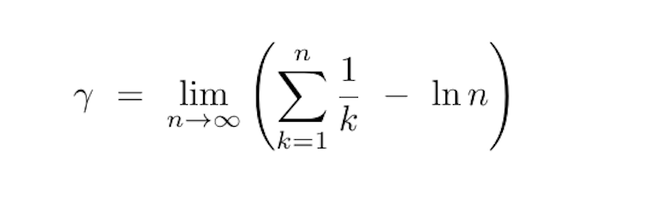
Является ли γ рациональной?

Рациональность постоянной Эйлера-Маскерони доказать пока не удалось, поэтому эта математическая проблема остается нерешенной
Вот еще одна проблема, которую очень легко написать, но трудно решить. Является ли постоянная Эйлера-Маскерони иррациональной или нет? Рациональные числа можно записать в виде p/q, где p и q — целые числа. Таким образом, 42 и -11/3 являются рациональными, а и √2 — нет. Формула выше позволяет вычислить постоянную, которая является пределом разности между частичной суммой гармонического ряда и натуральным логарифмом числа. За определение ее рациональности миллион долларов, конечно, не светит, зато вполне можно рассчитывать на кресло профессора в Оксфорде.
Значение γ было вычислено до нескольких тысяч знаков после запятой, первые четыре из которых — 0,5772. Она достаточно широко используется в математике, в том числе вместе с другим числом Эйлера — e. Согласно теории цепных дробей, если постоянная Эйлера-Маскерони является рациональной дробью, то ее знаменатель должен быть больше 10 в 242 080 степени. Но пока доказать ее рациональность не удалось — для этого нам и нашим компьютерам нужно больше времени. До этих пор рациональность постоянной γ остается нерешенной математической проблемой.
Только зарегистрированные и авторизованные пользователи могут оставлять комментарии.
+2
Интересно.
- ↓

